SOME INFORMATION ON HIGH GRADIENT MAGNETIC FIELDS
PONDEROMOTIVE MAGNETIC FORCES.
Each substance is magnetized in a magnetic field based on its magnetic
susceptibility (
) which is substance-specific and
determines the
magnitude of the
magnetization I (magnetic momentum per unit
volume) by a superimposed magnetic field H,
such that I =
H in the Gauss system of units. The magnetic
susceptibility of a substance depends on its chemical composition, state, and density.
Substances with negative susceptibility are called diamagnetics and
typically ranges
from -10-5 to -10-7 electromagnetic
units (emu). Substances with positive susceptibilities are referred to as
paramagnetics (10-3 10-7 emu). Common magnets are
ferromagnetic substances that are characterized by large values of
, 1 to 106 emu. Most biological substances are
diamagnetic, except for some proteins that contain metal ions, such as hemoglobin,
cytochrome, ferritin etc., which can be paramagnetic. However, some magnetobacteria
form ferromagnetic magnetite crystals.
In a non-uniform field media with different magnetic susceptibilities are affected by
mechanical (poneromotive) forces including torque, magnetostriction, and a motive
force. For dia- and paramagnetic biological objects the magnetic susceptibility does not
vary with the superimposed field, and the net magnetic ponderomotive force acting on a
body of volume magnetic susceptibility
b
immersed in a medium of magnetic susceptibility
m in a magnetic field H is:
Eq.1
where V is the volume of the body, and (H2/2) the dynamic factor of magnetic field, that describes its force action
In a gravity field the same particle is affected by two forces, gravity Fgr and buoyancy Fb. The correction for buoyancy yields
Eq.2 
where b, m are the densities of the particle and medium respectively, and g is the gravity vector. Comparing Eq.1 and Eq.2 we can calculate the dynamic factor of the field, in which magnetic force acting on the body would be equal to gravity:
Eq. 3
The magnetic susceptibility and density of cytoplasm are about equal to that of water. Since there are no data on the magnetic susceptibility of amyloplasts, we based our original estimations on the value for starch. The magnetic susceptibility of water w = -7.2×10-7 emu, and that of starch st = -(8±0.2)×10-7, thus the differential susceptibility = -8×10-8 emu. The density of starch =1.5 g/cm3, and the density of cytoplasm 1 g/cm3; therefore 0.5 g/cm3 and / = -6×106 (g/cm3)/emu. Therefore, the dynamic factor (H2/2) or HH necessary to exert a ponderomotive force comparable to gravity needs to be about 3×109 Oe2/cm. Generating a field above 2.4×104 Oe is technically difficult. However, the dynamic factor (H2/2) can be increased by reducing the dimensions of the area of non-uniformity of a magnetic field and thus increasing the field gradient H. The precise calculation of the distribution of field intensity, gradient, and dynamic factor for a particular magnetic system is difficult but we can approximate the dynamic factor (H2/2) of the field as ((Hmax + Hmin)/2)*(Hmax - Hmin)/d; where d is the distance over which the field decreases from its maximal value Hmax to its minimal Hmin. The achievable field strength Hmax from permanent magnet systems is about 103 to 104 Oe, and in order to obtain the necessary gradient d needs to be 10-2 to 1 cm which results in a high gradient magnetic field (HGMF). There are several magnetic designs that can generate HGMFs with the required parameters, the following text describes four that were used in our investigations.
MAGNETIC SYSTEMS
Small ferromagnetic particles form HGMFs with required parameters. For the estimation of (H2/2) we can assume, that the magnetic field decreases from its maximal value Hmax, on the surface of the particle to the ambient filed over the distance d that is roughly equal to the diameter of the particle. If the particle is small enough and magnetized to a high value (103 to 104 Oe) then HGMF with a significant dynamic factor (up to 1010 Oe2/cm) is present in its vicinity. If such a particle is positioned close to e.g. a root cap, HGMF can displace amyloplasts inside the columella cells providing a directional stimulus to the amyloplasts. One can distinguish two possibilities:
The particle itself can be a permanent magnet. The induced field B near an uniformly magnetized (spherical) particle is described by the equation:
Eq. 4
where V- volume of the particle, I - its magnetization, R - radius-vector beginning at the particle center (Fig. 1A). Around the particle the field gradient is directed towards the particle. If the particle is not spherical, the field distribution is more complicated, but the general pattern remains the same. Diamagnetics such as amyloplasts would be repelled from such a particle.
Alternatively, the particle can be a ferromagnetic substance that is magnetized by an external field. The field in the vicinity of such a (spherical) particle is given by
Eq. 5
where Ho - magnetizing field. The magnetic field near a magnetized particle consists of two zones, in the "polar" areas the gradient is directed toward the particle, in the "equatorial area" away from it (Fig. 1B). In the polar region amyloplasts would be pushed away from the particle and in the equatorial zone attracted toward the particle and consequently positively gravitropic roots should curve away from "polar areas" but toward the "equatorial area", negative gravitropic shoots should show opposite curvature. Assuming the same size and shape of the particle the field and the gradient can be stronger for (B) but the distribution of the field, and the mutual positioning between tested organ, the particle and external field is more complicated. For (A) special care needs to be taken to prevent interaction of the particles with external magnetic fields and each other. A substantial advantage of both magnetic systems is their small weight. The main disadvantage are the small size of the HGMF area and difficult manipulations of such small objects.

Figure 1. Magnetic systems used to generate high gradient magnetic fields (HGMF). The density of field lines is proportional to the field intensity, arrows indicate the direction of force acting on diamagnetic substances. The field around a spherical permanent magnet diminishes with increasing distance, resulting in a strong gradient when the sphere is small (A). Diamagnetics would be repelled from the sphere. Magnetic field in the vicinity of a ferromagnetic sphere magnetized by a (uniform) external magnetic field (B). Diamagnetics would be repelled from the sphere in "polar" regions and attracted to the sphere in "equatorial" area. The field in the vicinity of a ferromagnetic wedge magnetized by a (uniform) external magnetic field (C). A diamagnetic body would move away from the wedge edge. HGMF at the edge of a gap between two magnets or magnetic poles will push diamagnetics away from the gap (D).
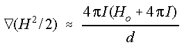
The magnetic field near the tip of an externally magnetized ferromagnetic cone or wedges stronger than the external magnetic field, so the gradient H is directed toward the tip or edge of the ferromagnetic insert. Therefore a paramagnetic body would be attracted to the tip, and diamagnetic particles such as amyloplasts are repelled from the wedge (Fig. 1C). Therefore root curvature can be expected to occur away from the wedge or cone and shoots are expected to curve toward the wedge edge. The dynamic factor of HGMF around the wedge tip can be estimated as:
Eq. 6
where d is the dimension of the HGMF area, I is the magnetization of the wedge. If the ferromagnetic wedge is magnetized approximately to saturation (Bsat = Ho + 4Isat., 15 to 24 kGauss), and if d is 0.1 to 0.3 mm, then (H2/2) can be estimated to be 109 to 5×1010 Oe2 cm-1. The force acting on amyloplasts within d is equivalent to or greater 1 g. The dynamic factor of the field gradually decreased from this value by 1 to 2 orders of magnitude between 0.5 to 1.5 mm from the edge. The diameter of the plant rots and shoots used in our experiments varied from 0.4 to 1.5 mm, such that amyloplasts at the side opposite of the plant organ experienced a considerably reduced force, less than 10-1 g. Therefore, the ponderomotive forces acting on amyloplasts equal to gravity are confined to a small area of the plant tissue. The system combines high values of the dynamic factor of the HGMF with a small size of the area of non-uniformity. Since mutual positioning of seedling and wedge or cone is relatively easy, such a magnetic system is suitable for the exploration of the spatial distribution of sensitivity of statocytes to amyloplast displacement.
The edge of a gap between two magnets or magnetic poles is also suitable to provide HGMFs with the necessary parameters. The field intensity decreases from the depth of the gap towards the edge (Fig. 1D), therefore the gradient is directed toward the depth of gap and perpendicular to the edge. Diamagnetic amyloplasts experience a force directed away from the depth of the gap. Since the gap width represents the extent of the HGMF d for the estimation of (H2/2), the field intensity and gradient decrease as d increases. The force value in the gap area can vary from negligible to about 1 g. Since the gap width cannot be smaller than the experimental plant organ this system produces relatively small gradients and the ponderomotive forces compare to the system described above. However, the volume of HGMF can be larger and it does not require precise mutual positioning of the magnetic system and plant tissue as the previously described systems. Roots are expected to curve away from the depth of the gap near its edge, shoots are expected to grow into the gap.
MAGNETOGRAVIPHORETIC MEASUREMENTS OF SMALL PARTICLES.
Initially, the estimations of magnetic susceptibility and density of amyloplasts were assumed to be equal to that of starch but for the calculation of the forces that affect amyloplasts in a HGMF of a particular magnetic system it is necessary to measure the actual value of the ratio of differences in susceptibility and in density, i.e. the parameter /. Values of magnetic susceptibilities and densities are necessary to estimate the ponderomotive forces in a given system, to analyze the starch content of amyloplasts, assess species differences and evaluate the contribution of the membrane envelope on amyloplast motility.
The large heterogeneity of biological systems requires that such studies be conducted on the cellular and subcellular level. Ideally one would study individual amyloplasts. But the measurements of magnetic susceptibility of such small particles (1 to 5 µm in diameter) is difficult and traditional magnetometry methods (Faraday balance, vibrating magnetometer, etc.) are not appropriate. Even superconducting quantum interference devices (SQUIDs) are not sensitive enough to measure the magnetic susceptibility of single amyloplasts. In contrast, particle magnetophoresis is suitable for the determination of the magnetic susceptibility of single amyloplasts. Two modifications of the method exist: Magnetic levitational suspension determines where the particle comes into equilibrium and maintains a steady position within a known (H2/2) and the magnetograviphoretic technique.
The later method is based on measurements of velocities of the movement of particles that are suspended in liquid with a known density and magnetic susceptibility inside a magnetic system that generates a HGMF with known parameters. Typically particles that are more diamagnetic than the medium are measured with a Brownback-type magnetic system that consists of a gap between magnetic poles with a concavity on the top side. For paramagnetic particles a magnetic system with a combination of a wedge-shaped and a concave magnetic pole is used. For biological objects water or buffers are used as medium.
If a particle moves in the medium, it is subjected to the viscous friction force Ffr. For the typical velocities the movement of amyloplasts can be considered laminar (Reynold's number Re = Rv/ 10-6 to 10-7 « 1), and Ffr = -v/, where is the mobility of the particle and v the velocity. The velocity of the movement is proportional to the net force (Fnet) acting on the particles:
Eq. 7
Near the upper edge of the gap between the poles the field gradient H and dynamic factor of the field (H2/2) are directed toward the gap (Fig. 2B). In the absence of a magnetic field, the particles are sedimenting due to gravity Fgr and buoyancy Fb and sediment when Fb < Fgr (Fig. 2C):
Eq. 8
When the magnetic field is active, diamagnetic particles in this area experience an additional, upward directed ponderomotive force Fm (Fig. 2D). If Fm > Fg the particle moves upward with the velocity:
Eq. 9
Due to the geometry of the field the movement of the particles in the area of measurement is vertical and both equations can be written in scalar form:
Eq. 10
Eq. 11
Since all physical parameters that affect the mobility are identical for up- and downward movement neither size or shape of particles nor the viscosity of the solution need to be determined. Measuring the velocities of the particles in the absence (vsed) and presence of HGMF (vup), permits the calculation of the ratio of differential susceptibility and density /:
Eq. 12
The ratio (H2/2)/g is a calibration factor specific for the magnetic system used to measure (vup+vsed/vsed). If density of the particles and medium, and magnetic susceptibility of the medium are known, the magnetic susceptibility of the particles can be determined.

Figure 2. The principle of magnetograviphoretic measurements of magnetic susceptibility of small particles. Sketch of the measurement area of the device and forces that act on particles (A). The distribution of magnetic field intensity and gradient in the gap between magnetic poles (B), dotted square represents the area of measurements. Forces acting on particle, immersed in liquid with different density and magnetic susceptibility , sedimenting in gravity field (C) and moving under the action of ponderomotive forces in non-uniform magnetic field (D).